扫描打开手机站
随时逛,更方便!
当前位置:首页 > 赛场风云

2025全国排名:江苏镇江丹徒、丹阳、勾容、扬中及扬州仪征40镇

时间:2025-10-06 21:01:35 来源:三农老历 作者:三农老历

目录

  • 第1节:40镇人口及其省内排名、全国排名
  • 第2节:40镇人口密度及其全省排名、全国排名
  • 第3节:各乡镇工商业数据及排名
  • 图1到图5:各县市区最新高清地图



图1:镇江最新高清地图,2025年版,含简介和乡镇位置。

正文:

第1节:各镇人口及其省内排名、全国排名

乡镇

人数

全省

全国

丹徒区世业镇

703

扬中市西来桥镇

700

丹徒区高桥镇

697

丹阳市界牌镇

695

丹徒区宝堰镇

688

镇江新区丁岗镇

684

丹徒区谷阳镇

652

句容市茅山镇

651

镇江新区大路镇

650

扬中市八桥镇

645

句容市宝华镇

640

仪征市青山镇

639

仪征市马集镇

636

句容市下蜀镇

618

句容市边城镇

617

扬中市油坊镇

578

9809

仪征市陈集镇

576

9726

句容市白兔镇

558

9230

丹阳市陵口镇

548

8920

仪征市新集镇

502

7821

扬中市新坝镇

499

7763

镇江新区姚桥镇

498

7737

丹阳市司徒镇

486

7278

丹阳市导墅镇

478

7114

丹阳市吕城镇

470

6946

仪征市大仪镇

468

6922

丹阳市珥陵镇

466

6875

丹阳市访仙镇

462

6800

丹徒区辛丰镇

459

6698

丹阳市皇塘镇

454

6601

仪征市刘集镇

414

5741

丹徒区上党镇

411

5667

句容市天王镇

395

5332

仪征市月塘镇

392

5314

句容市后白镇

355

4439

丹阳市延陵镇

321

3964

句容市郭庄镇

252

2934

仪征市新城镇

219

2471

丹阳市丹北镇

190

2104

仪征市真州镇

16

99

图表说明:表格一共4列,手机看不全的向左滑才能看全。表中四列分别是乡镇名、人口数、全省排名、全国排名。其中人口是指户籍人口,全省排名表示在江苏709个乡镇(16个乡、693个镇)中的排名,全国排名表示在全国近30000个乡镇(具体是29608个)中的排名。

40个镇一共171万人,平均每个镇4.3万人。其中仪征市真州镇16万人,为第一大镇,位居全省第16位,全国第99名。

图2:扬州仪征市最新高清地图,2025年版,含简介和乡镇位置。



第2节:各镇人口密度及其全省排名、全国排名

表格说明:表格一共4列,手机看不全的向左滑才能看全。表中人口密度是指每平方公里的户籍人口数。

乡镇

密度

全省

全国

丹徒区世业镇

259

695

句容市边城镇

287

688

句容市宝华镇

292

687

句容市白兔镇

326

669

9287

句容市下蜀镇

343

663

8905

句容市茅山镇

345

662

8843

仪征市月塘镇

348

661

8827

句容市后白镇

388

638

7851

句容市天王镇

391

633

7776

仪征市大仪镇

417

609

7258

句容市郭庄镇

429

599

6973

丹徒区高桥镇

436

594

6838

丹徒区上党镇

440

592

6757

仪征市陈集镇

456

573

6480

仪征市马集镇

462

567

6356

丹阳市司徒镇

482

551

5980

丹阳市延陵镇

503

535

5626

丹阳市珥陵镇

543

469

4976

仪征市刘集镇

547

465

4921

丹徒区谷阳镇

549

461

4888

丹阳市导墅镇

554

448

4808

丹徒区宝堰镇

563

438

4688

丹阳市皇塘镇

577

426

4503

丹徒区辛丰镇

579

423

4480

丹阳市陵口镇

608

376

4109

丹阳市访仙镇

619

365

3973

丹阳市丹北镇

628

351

3873

镇江新区大路镇

653

324

3600

仪征市青山镇

656

320

3581

镇江新区丁岗镇

663

311

3495

丹阳市吕城镇

665

308

3463

仪征市新集镇

666

307

3460

仪征市新城镇

716

259

2969

扬中市油坊镇

735

238

2789

镇江新区姚桥镇

751

220

2646

扬中市西来桥镇

826

160

2058

扬中市八桥镇

844

143

1922

扬中市新坝镇

868

128

1765

丹阳市界牌镇

880

123

1687

仪征市真州镇

2601

5

120

图3:镇江市辖区和扬中市最新高清地图,2025年版,含简介和乡镇位置。



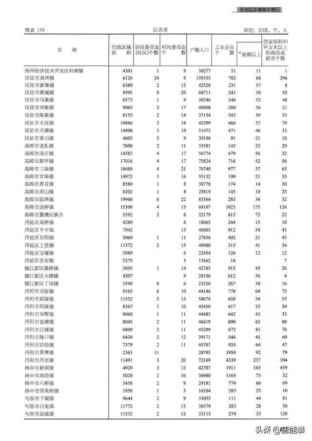
第3节:各镇工商业数据

各镇工业企业、上规模工业企业、50平以上综合商店数目见图下表。本文信息来源为国家统计部门面向全国公开出版的最新版《统计年鉴》(2024版)。



图4:人口与工商业统计表。

利用上表中数据计算工商指数=(工业企业数+上规模工业企业*50+较大商店数))/(人口*土地面积)的几何平均,表示当地工商业相对发展发达程度。按工商指数各乡镇排名如下(表格一共4列,手机看不全的向左滑):

乡镇

工商

全省

全国

丹徒区世业镇

0.2

709

仪征市青山镇

18.7

629

5334

丹徒区宝堰镇

22.4

612

4967

句容市茅山镇

32.5

574

4204

丹徒区高桥镇

47.7

527

3536

仪征市新集镇

72.9

472

2885

仪征市刘集镇

99.6

439

2484

镇江新区大路镇

435

2455

句容市天王镇

411

2288

扬中市西来桥镇

392

2087

镇江新区丁岗镇

356

1896

丹徒区上党镇

343

1782

句容市郭庄镇

335

1690

句容市白兔镇

324

1616

句容市下蜀镇

321

1603

仪征市新城镇

302

1477

仪征市月塘镇

300

1474

丹徒区谷阳镇

277

1352

句容市后白镇

254

1226

丹阳市珥陵镇

248

1179

句容市宝华镇

233

1117

丹阳市导墅镇

228

1075

句容市边城镇

212

980

仪征市马集镇

201

920

镇江新区姚桥镇

191

856

丹阳市延陵镇

188

843

丹阳市陵口镇

176

785

仪征市陈集镇

162

731

丹徒区辛丰镇

153

668

仪征市大仪镇

142

605

丹阳市访仙镇

136

568

丹阳市司徒镇

129

525

扬中市油坊镇

123

494

丹阳市吕城镇

117

456

丹阳市皇塘镇

116

442

扬中市八桥镇

100

366

仪征市真州镇

82

282

丹阳市界牌镇

46

152

丹阳市丹北镇

29

104

扬中市新坝镇

13

52

图5:镇江丹阳市最新高清地图,2025年版,含简介和乡镇位置。



由于时间关系,本文就写到这里,改日再续。笔者致力于更新全国县市、乡镇逐年真实数据和地图,以及征婚。关注作者才能保证继续收到新的同类文章。感谢点赞收藏转发,将此文推荐到更多网友,共同宣传家乡,大家对于各乡镇有何补充呢?有何建议或实用信息可直接评论留言。