微成都报道 10月23日,备受瞩目的2025四川大企业大集团发展大会在成都盛大举行。此次大会不仅汇聚了四川众多知名企业,更成为展示四川经济发展成果的重要窗口。
会上,四川省企业联合会正式发布了《四川100强企业发展报告(2025)》,并隆重揭晓了2025四川企业100强、制造业100强、建筑业100强、服务业100强及数字经济100强五大权威榜单,为四川企业界带来了一场盛大的荣誉盛宴。
在备受关注的“2025四川企业100强”榜单中,通威集团凭借卓越的业绩和强大的实力,首次登顶榜首,成为四川企业的新标杆。紧随其后的是五粮液集团、长虹控股集团、四川能源发展集团、其亚集团、新希望六和、泸州老窖、华西集团、川威集团以及中国石油四川销售公司,这些企业共同构成了四川企业百强的第一梯队。值得一提的是,成都作为四川的经济中心,此次共有64家企业上榜,充分展现了成都企业在四川经济中的领先地位。

榜单数据显示,今年上榜的川企排名出现了显著变化。长期位居川企榜首的新希望集团,此次改由旗下企业新希望六和股份有限公司申报参评,最终排名第六位。这一变化不仅体现了新希望集团内部的战略调整,也反映了四川企业竞争格局的动态演变。
尤为引人注目的是,今年营业收入超过1000亿元的企业达到了8家,较2024年增加了3家。其中,通威集团有限公司的营收更是超过了2000亿元,成为四川企业中的“巨无霸”。此外,四川省宜宾五粮液集团有限公司、四川长虹电子控股集团有限公司、四川能源发展集团有限责任公司、其亚集团有限公司、新希望六和股份有限公司、泸州老窖集团有限责任公司以及四川华西集团有限公司的营收也均超过了1000亿元。值得一提的是,四川能源发展集团有限责任公司和其亚集团有限公司首次跻身千亿级企业行列,标志着四川企业在规模扩张和实力提升方面取得了显著进展。

通威国际中心,图据视觉中国
据了解,2025年四川企业100强榜单由四川省企业联合会、四川省企业家协会连续第22年权威发布。此次发布的《四川100强企业发展报告(2025)》不仅收录了2025年四川100强企业、制造业100强企业、建筑业100强企业、服务业100强企业、数字经济100强企业名单以及中国500强企业名单数据,还进行了深入的分析报告。报告主要对百强企业的整体规模、效益、所有制和地区差异等方面进行了全面剖析,并提出了针对性的发展建议,为四川企业的未来发展提供了宝贵的参考。
在入围标准方面,2025年四川企业100强以2024年企业营业收入为入围依据,由企业自主申报。数据显示,今年四川企业100强的入围门槛达到了82.40亿元,较上年增长了8.53%。制造业企业100强的入围门槛为27.17亿元,较上年增长了0.48亿元。值得一提的是,四川企业100强和制造业100强的入围门槛已经连续六年保持增长态势。服务业企业100强的入围门槛达到了11.16亿元,同比增长了30.15%。而数字经济企业100强的入围门槛更是首次突破了1亿元大关,标志着四川数字经济企业的快速发展。
此外,2025年四川企业100强中营收超百亿的企业数量持续增长,由上年的75家增加为77家。从实现净利润来看,净利润超100亿元的企业有3家;20亿-100亿元之间的企业有14家;10亿-20亿元之间的企业有9家;0-10亿元之间的企业有63家;处于亏损状态的企业有11家。总体来看,2025年四川企业100强中大部分企业的利润分布在0-10亿之间,其分布情况较去年变化不大。从效益指标来看,2025年四川企业100强的净利润达到了1445.58亿元,相较于2024年的1100.49亿元,实现了31.36%的显著增长。
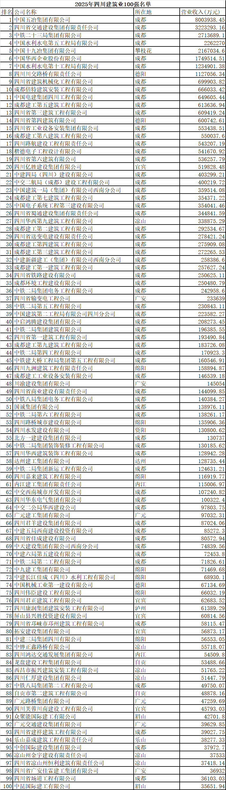
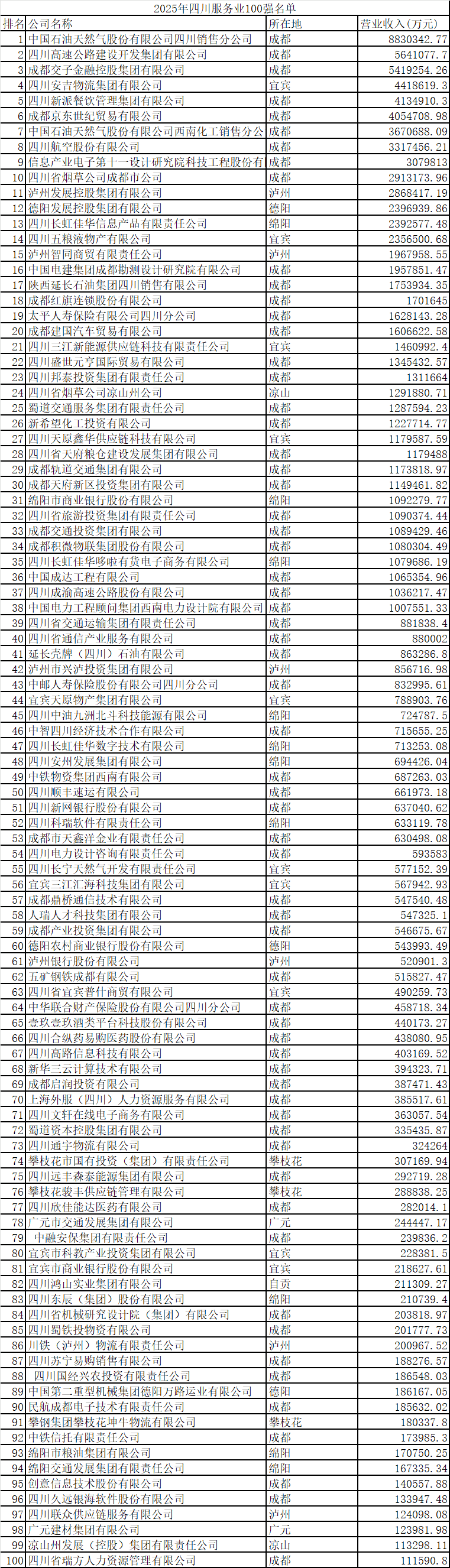
当天会上,还同步发布了四川制造业企业100强、四川建筑业企业100强、四川服务业企业100强、四川数字经济企业100强四个榜单。其中,通威集团、长虹控股集团、四川能源发展集团、其亚集团、新希望六和位列四川制造业100强企业前五名;中国五冶集团、四川交建集团、中铁二十三局集团、中国水利水电第五工程局有限公司、中国十九冶集团位列四川建筑业企业100强前五名;中国石油四川销售公司、四川高速公路建设开发集团、交子金控、安吉集团、新派餐饮管理集团位列四川服务业100强企业前五名;长虹控股集团、九洲集团、安吉集团、长虹佳华、宜宾美捷位列四川数字经济企业100强前五名。




编辑 侯春萍 综合四川发布等
审核 冯玲玲